
销售咨询热线:185-5320-3831技术服务热线:156-6622-7678
1、文字镜像如何设置转动与不转动? A、在镜像前,输入MIRRTEXT指令 B、输入新值0 代表不转动;输入新值1代表转动 C、MIRRTEXT指令完成后,输入MI镜像指令就OK了 2、CAD的版本转换 A、CA...
CAD绘图技巧 一、基础很重要。 实践证明,手工图板绘图能力是计算机绘图能力的基础,学习 CAD,需要一定的画法几 何的知识和能力,需要一定的识图能力,尤其是几何作图能力,一般...
一、开关量 开关量也称逻辑量,指仅有两个取值,0或1、ON或OFF。它是最常用的控制,对它进行控制是PLC的优势,也是PLC最基本的应用。 开关量控制的目的是,根据开关量的当前输入组...
城市集中供热信息管理调度及自动化控制系统对于保证供热系统优质供热、安全运行、经济节能、环境保护具有十分重要的作用。一个先进完善的供热控制方案,通过自动控制使热损失...
一、为什么需要维护 1、为了延长使用寿命; 2、为了设备运行的稳定性; 3、这也是5S的一种体现。 二、不维护容易出现的问题 电柜太脏会设备短路,打弧,烧坏设备; 电柜风扇过滤...
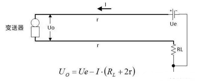
目录: 01. SIS与ESD、DCS、PLC傻傻分不清楚?看了这个才知道! 02. 仪表的线制学问有多深? 03. 4-20mA信号究竟能够传输多远? 04. 学仪表不懂工艺PID,硬伤得治! 05. 自动化仪表沟通的十一...
一 自动化仪表选型的一般原则 检测仪表(元件)及控制阀选型的一般原则如下:1.工艺过程的条件工艺过程的温度、压力、流量、粘度、腐蚀性、毒性、脉动等因素是决定仪表选型的主...
5G商用正式到来 仪器仪表万亿市场序幕拉开 在10月31日举行的2019中国国际信息通信展览会开幕式上,工信部与中国电信、中国联通、中国移动、中国共铁塔同宣布启动5G商用。11月1日三...
工业自动化仪表品种繁多,从信息的获得、传递、反映和处理的过程把工业自动化仪表分为五大类。 检测仪表 生产过程中,介质在设备、管道不同部位的温度、压力、流量、物位以及...
一、压力仪表原理 1.弹簧管式压力仪表 2.电接点式压力仪表 3.电容式压力传感器 4.膜盒式压力传感器 5.压力式温度计 6.应变式压力传感器一、温度仪表原理 二、温度仪表原理 1.薄膜热电...
青岛天瑞昊机电工程有限公司依据现代企业制度形式组建的,致力于工业电气设备、工业自动化设备等行业,集科研、开发、生产、贸易及工程于一体的高科技股份制有限公司,主要产...


